10년 이상 수시 지도 경력을 쌓아오며 수많은 학생들을 희망하는 대학에 합격시킨 경험을 담아 조선대 수시등급에 대해 쉽고 자세히 작성했습니다. 특히, 수시 전형에서 요구되는 핵심 포인트와 각 대학별 특성에 대한 깊이 있는 이해는 수시 합격을 위한 중요한 점입니다. 오늘은 저의 노하우를 바탕으로 조선대 수시등급에 대한 분석을 공유하고자 합니다. 과연 어떤 점들이 주요 관건일지, 끝까지 읽으시면 분명히 도움이 될 것입니다.
목차

조선대 최근 학과별 경쟁률
조선대 전형요약
아래 사진을 통해 조선대의 각 전형별 전형방법과 수능 최저여부를 한눈에 파악하실 수 있으니 참고하시기 바랍니다.

조선대 주요 변경사항
조선대 의대, 치대, 약대의 수능 최저학력에 대한 내용이 아래 사진에 잘 나와 있습니다. 또한 다른 주요 사항에 대해서도 나와있으니 파악하시기를 추천드립니다.


조선대 최저
조선대 교과 일반전형 최저
조선대 일반전형의 최저는 각 학과별로 상이하며 아래 사진을 통해 확인하실 수 있습니다.

조선대 교과 지역인재전형 최저
조선대 지역인재전형의 최저는 일반전형보다 조금 완화된 모습입니다. 아래 사진을 통해 확인해 보시기 바랍니다.

조선대 수시등급
조선대 교과전형 수시등급
조선대 교과 일반전형 수시등급
조선대학교의 수시 지원 시 학과별 경쟁률과 합격선은 진학을 고민하는 학생들에게 중요한 참고 자료입니다. 국어국문학전공의 경우 경쟁률은 2.6:1로 비교적 낮은 편이며, 최종 등록자의 70% 컷은 6.44등급입니다. 일본어과는 경쟁률이 7.4:1로 높으며, 70% 컷이 5.51등급으로 나타났습니다. 의예과와 약학과는 각각 13.7:1과 14.4:1로 경쟁률이 매우 높고, 70% 컷이 1.1등급과 1.31등급으로 상위권 학생들 중심의 지원이 예상됩니다.



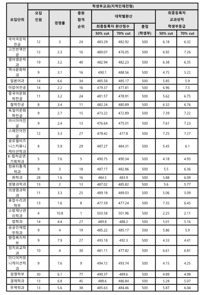
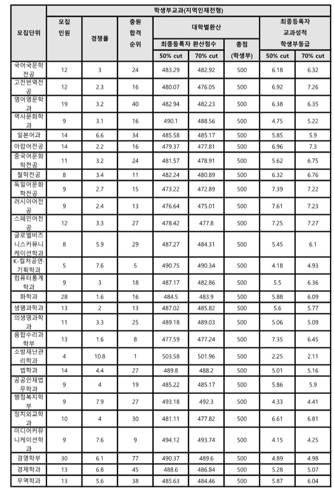
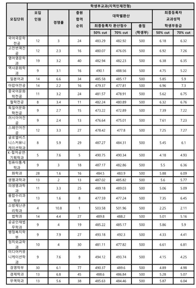
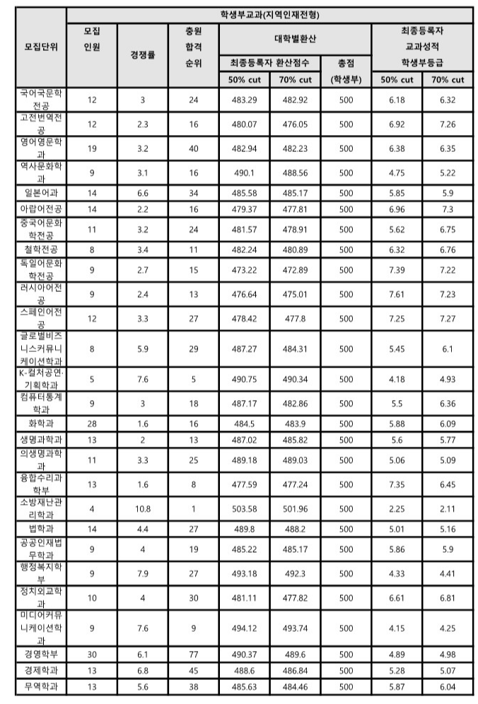
조선대 교과 지역인재전형 수시등급
2024학년도 조선대 지역인재전형의 주요 학과와 경쟁률, 70% 컷 등급을 중심으로 알아보겠습니다.
경쟁률이 높은 학과로는 간호학과가 15.3:1의 경쟁률로 가장 높았고, 약학과와 치의예과도 16:1과 7.5:1의 높은 경쟁률을 보였습니다. 이들 학과는 최종 70% 컷 성적이 각각 2.86, 1.42, 1.34로 높은 수준을 기록해 입학이 까다로웠습니다.
반면 경쟁률이 낮고 등급 컷도 비교적 낮은 학과로는 스마트이동체융합시스템공학부, 선박해양공학전공과, 환경공학과가 있으며, 각각 1.9:1, 5:1의 경쟁률을 기록했습니다.


조선대 교과 특성화고전형 수시등급
조선대 교과 특성화고전형에 대한 50%, 70% 커트라인 및 경쟁률은 아래 사진을 통해 확인하실 수 있습니다.


조선대 종합전형 수시등급
조선대 종합 면접전형 수시등급
조선대학교 면접전형의 수시 등급을 보면, 경쟁률과 성적 커트라인에서 학과별 특징이 두드러집니다.
의예과, 간호학과, 치의예과, 약학과는 경쟁률이 각각 11.5:1, 24:1, 20.8:1, 27.8:1로, 지원자 간 경쟁이 특히 치열한 편입니다. 이 학과들은 교과 성적에서도 높은 70% 커트라인을 보여, 상위권 학생들이 주로 몰립니다. 반면, 경쟁률이 낮고 지원자 부담이 덜한 학과로는 공공인재법무학과(3.7:1), 원자력공학과(3:1) 등이 있으며, 교과 성적 커트라인도 비교적 완화된 편입니다.
또한, 상담심리학과와 경찰행정학과도 높은 경쟁률을 기록했으며, 최종 등록자의 성적은 70% 커트 기준으로 각각 4.28, 4.24를 보여 중상위권 학생들의 선호도가 높습니다. 이러한 정보는 지원자들이 각 학과별 입시 난이도와 적합성을 판단하는 데 중요한 기준이 될 것입니다.


조선대 종합 서류전형 수시등급



조선대 종합 농어촌전형 수시등급
조선대 종합 농어촌전형에 대한 수시 커트라인은 아래 사진을 통해 확인하시면 됩니다.


수시 합격에 도움 되는 글
2024 대학별, 등급별, 교과별, 종합별 수시등급 글 모음
이 글에서는 본 블로그에서 다른 다양한 대학의 수시등급을 가나다 순과 교과별 등급순, 종합별 등급순으로 나누어 제공해드리고 있습니다. 해당 대학을 클릭하시면 관련 글로 이동되오니 각
whaleedu.co.kr
최근 3년 입시결과
조선대학교 입학처
i.chosun.ac.kr
이상으로 조선대 수시등급에 관한 글을 마치도록 하겠습니다. 진심으로 합격하시기를 기원하겠습니다. 감사합니다.
'2024 수시' 카테고리의 다른 글
| 동의대 수시등급 2024 l 최저, 경쟁률, 교과, 종합, 지역인재, 한의예과 등등 총정리 (by 입시 10년 지도자) (0) | 2024.10.30 |
|---|---|
| 영남대 수시등급 2024 l 최저, 경쟁률, 교과, 종합, 영남대 의대 약대 (ft. 수시지도 10년) (0) | 2024.10.30 |
| 전남대 수시등급 2024 l 최저, 경쟁률, 교과, 종합, 지역인재 등등 총정리 (by 입시지도 10년) (0) | 2024.10.29 |
| 경희대 수시등급 2024, 교과, 종합, 논술, 최저 총정리 (ft. 입시지도 10년) (0) | 2024.10.28 |
| 경희대 논술 총정리 l 논술 일정, 최저, 날짜, 시간 (by 실제 입시지도자) (0) | 2024.10.28 |