10년 이상의 수시 지도 경력을 통해 수많은 학생들을 경희대에 합격시킨 경험을 바탕으로, 이번 글에서는 경희대 수시 등급에 대해 깊이 있게 다뤄보려 합니다. 경희대는 높은 지원 경쟁률과 함께 다양한 전형별 평가 기준을 가지고 있어, 합격을 위해서는 정확한 정보를 바탕으로 한 전략이 필수적입니다. 경희대 합격을 목표로 하는 수험생이라면, 이번 글을 끝까지 읽으며 합격 가능성을 높이는 데 필요한 유용한 정보를 얻어 가시기 바랍니다.
목차

경희대 최근 경쟁률
경희대 전형요약
경희대 전형요약을 통해 교과전형, 종합전형, 논술전형의 합격자 선발 방법과 단계별 평가 방법에 대해 확인하실 수 있습니다.


경희대 주요 변경사항
경희대의 전형요소 변경과 수능 최저 기준 변경에 대한 내용 등 주요 변경사항을 아래 사진을 통해 한눈에 확인하실 수 있습니다.

경희대 최저
경희대는 교과전형인 지역균형전형과 논술전형에서 수능 최저를 필요로 합니다.
경희대 지역균형전형 최저
경희대 지역균형전형에서는 계열과 모집단위별로 설정된 수능 최저학력기준을 충족해야 합니다. 이 기준은 수험생의 기본 학업 능력을 평가하며, 2024년 11월 대학수학능력시험 성적으로만 충족이 가능합니다. 계열에 따라 필요한 등급 기준이 다르므로, 지원자들은 각 전형별로 해당 요건을 반드시 확인해야 합니다.
1. 인문·자연계열 및 자율·자유전공학부
의예과, 한의예과, 치의예과, 약학과를 제외한 인문·자연계열 지원자는 국어, 수학, 영어, 사회/과학탐구(2과목) 중 2개 영역의 등급 합이 5 이내이고, 한국사는 5등급 이내를 충족해야 합니다.
2. 의예과, 한의예과, 치의예과, 약학과
의약학 계열의 경우 더 높은 기준이 요구됩니다. 국어, 수학, 영어, 사회/과학탐구(2과목) 중 3개 영역의 등급 합이 4 이내이며, 한국사는 5등급 이내를 맞춰야 합니다.
3. 예술·체육 계열
예술·체육 계열 지원자는 국어, 수학, 영어, 사회/과학탐구(2과목) 중 1개 영역이 3등급 이내이고, 한국사는 5등급 이내로 충족해야 합니다.
또한, 모든 모집단위에 탐구영역은 2과목 평균 등급으로 반영하며, 소수점 자리 버림 없이 그대로 산출된 평균 점수가 반영됩니다. 경희대 지역균형전형을 준비하는 수험생들은 이 수능 최저학력기준을 미리 확인하고 충족할 수 있도록 학습 계획을 세우는 것이 중요합니다.

경희대 논술전형 최저
경희대 논술전형에서는 모집단위별로 대학수학능력시험 최저학력기준을 설정하여 지원자가 일정 수준 이상의 학업 능력을 갖추었는지 평가하고 있습니다. 이를 통해 수험생의 논술 능력뿐 아니라 기본적인 학업 성취도를 함께 확인할 수 있습니다.
1. 인문/자연 계열 및 자율전공학부 (의예과, 한의예과, 치의예과, 약학과 제외)
인문/자연 계열 및 자율전공학부는 국어, 수학, 영어, 사회/과학탐구(2과목) 중 2개 영역 등급의 합이 5 이내여야 하며, 한국사 5등급 이내의 조건을 충족해야 합니다. 이 조건은 인문 및 자연계열 전반에 걸쳐 적용되며, 지원자의 기본 학업 성취도를 반영합니다.
2. 의예과, 한의예과, 치의예과, 약학과
의예과와 한의예과, 치의예과, 약학과는 보다 높은 기준을 요구합니다. 이들 모집단위는 국어, 수학, 영어, 사회/과학탐구(2과목) 중 3개 영역 등급의 합이 4 이내여야 하며, 한국사 5등급 이내를 충족해야 합니다. 높은 학업 성취도와 학습 능력을 중시하는 의·약학계열 지원자를 위한 기준입니다.
3. 체육 계열
체육 계열은 국어, 수학, 영어, 사회/과학탐구(2과목) 중 1개 영역 이상이 3등급 이내여야 하며, 한국사 5등급 이내여야 합니다. 체육 계열에서는 비교적 낮은 최저 기준을 요구하지만, 기본적인 학업 성취 능력은 중요하게 평가합니다.
추가 유의사항
- 최저학력기준은 2024년 11월에 시행되는 대학수학능력시험 성적으로 충족해야 합니다.
- 모든 계열과 모집단위에 필수 응시 과목은 없지만, 한국사는 필수 응시 과목입니다.
- 탐구영역의 경우 2과목의 평균 등급이 그대로 반영되며, 소수점 버림 없이 반영됩니다.
경희대 논술전형을 준비하는 지원자는 이 최저학력기준을 숙지하고 자신이 지원하는 모집단위에 맞춰 준비하는 것이 필요합니다.

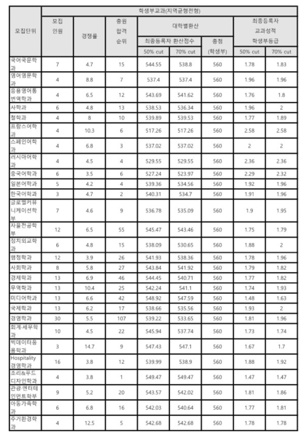
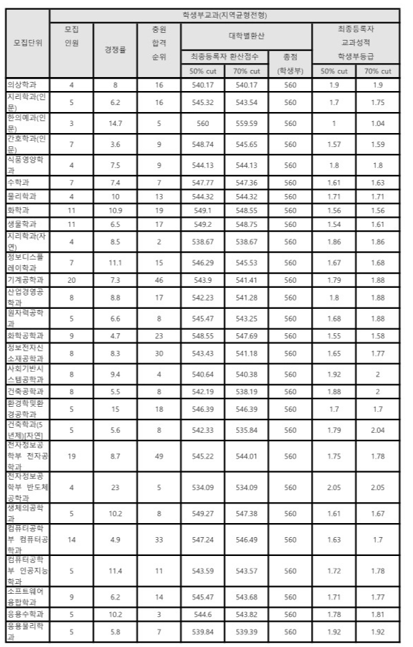
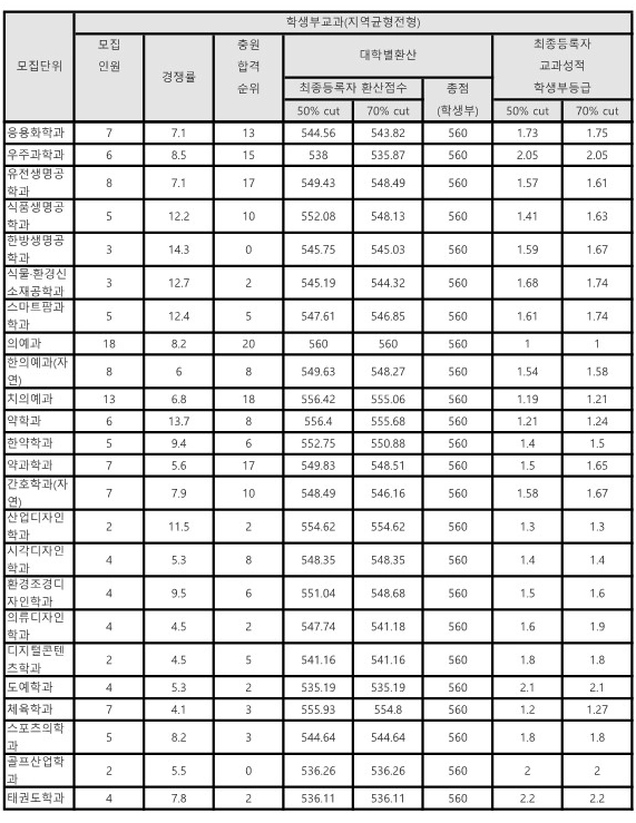
경희대 수시등급
경희대 교과전형 수시등급: 지역균형전형



경희대 종합전형 수시등급: 네오르네상스 전형
경희대 네오르네상스 전형인 종합전형의 수시등급 중 50% 커트라인은 응용수학과 2.13, 우주과학과 2.01, 의예과 1.04, 한의예과 1.35, 치의예과 2.05, 약학과 1.10, 간호학과 1.91을 기록했습니다. 전반적으로 일반 학과들은 1등급 후반에서 2등급 초반 정도의 합격자가 많았습니다.
자세한 내용은 아래 사진을 통해 확인하실 수 있습니다. 혹시 사진이 잘 안보이신다면 아래 파일을 참고하시기 바랍니다.



수시 합격에 도움 되는 글
2024 대학별, 등급별, 교과별, 종합별 수시등급 글 모음
이 글에서는 본 블로그에서 다른 다양한 대학의 수시등급을 가나다 순과 교과별 등급순, 종합별 등급순으로 나누어 제공해드리고 있습니다. 해당 대학을 클릭하시면 관련 글로 이동되오니 각
whaleedu.co.kr
최근 3년 입시결과
경희대학교
--> --> 수시 공지사항 모집요강 경쟁률 기출문제 서식파일 입시결과 전형모아보기 입시결과
iphak.khu.ac.kr
이상으로 경희대 수시등급에 관한 글을 마치도록 하겠습니다. 진심으로 합격하시기를 기원하겠습니다. 감사합니다.
'2024 수시' 카테고리의 다른 글
| 조선대 수시등급 2024 l 최저, 경쟁률, 교과, 종합 등등 총정리 (ft. 수시 10년 지도) (0) | 2024.10.29 |
|---|---|
| 전남대 수시등급 2024 l 최저, 경쟁률, 교과, 종합, 지역인재 등등 총정리 (by 입시지도 10년) (0) | 2024.10.29 |
| 경희대 논술 총정리 l 논술 일정, 최저, 날짜, 시간 (by 실제 입시지도자) (0) | 2024.10.28 |
| 인하대 수시등급 2024, 최저, 경쟁률 (ft. 실제 입시 전문가) (0) | 2024.10.28 |
| 동아대 수시등급 2024, 최저, 경쟁률, 간호학과 및 의대 등 총정리 (ft. 수시 10년 지도) (0) | 2024.10.27 |